近日,我院薛加民课题组和郭艳峰课题组合作发现了一种有趣的材料体系,Nb2Six-1Te4。利用扫描隧道显微镜,研究人员发现该体系自发形成了一维金属链和二维半导体结构,使得在同一块样品中沿不同晶向呈现出金属性和绝缘性。该成果于近日发表于知名学术期刊ACS Nano。
维度是影响一种材料体系性质的重要因素。自从2010年的诺贝尔物理学奖得主Geim 发现了第一种二维材料——石墨烯后,低维材料得到了越来越多的关注。相较于传统的三维材料,低维材料中存在着许多独特的性质与应用。例如,三维的石墨是一种广为人知的半金属材料,它的一维同位素碳纳米管是Luttinger 液体体系。而它的二维同位素石墨烯中的电子呈现出无质量狄拉克费米子性质。维度的改变对材料性质的影响仍需更多的科学研究。
小妲己直播 研究人员发现的Nb2Six-1Te4这一材料实现了一维金属与二维半导体的共存。这一共存性质不仅在原子尺度得到了证明,而且对宏观输运性质产生了影响。在同一块样品中沿着某一方向测量,样品呈现金属性;而沿着垂直的方向测量则呈现绝缘性(半导体性)。据知,目前还没有其他材料有如此巨大的各向异性,这使其具有独特的应用和研究潜力。
通过扫描隧道能谱,研究者发现这些原子链具有金属性,而链间部分却具有~0.4 eV的带隙(如图一B所示)。

图一:(A)Nb2Six-1Te4的表面形貌图,亮的条纹为具有较高电子态密度的一维原子链。(B)原子链上的扫描隧道谱(红色)与原子链间的扫描隧道谱(黑色)。
通过扫描隧道显微镜进一步研究电子态在空间中的分布,研究人员发现电子波被这些一维原子链多次散射,在链间形成了驻波态,如图二所示。通过拟合这些驻波,研究者推测出原子链对电子波的散射强度等信息,并证实了链间的电子具有二维特性,而链上的电子具有一维特性。

图二:上半部分的颜色代表了电子局域态密度的高低。下半部分是一张形貌图。上半部分的态密度是在形貌图上的白色虚线处获得。
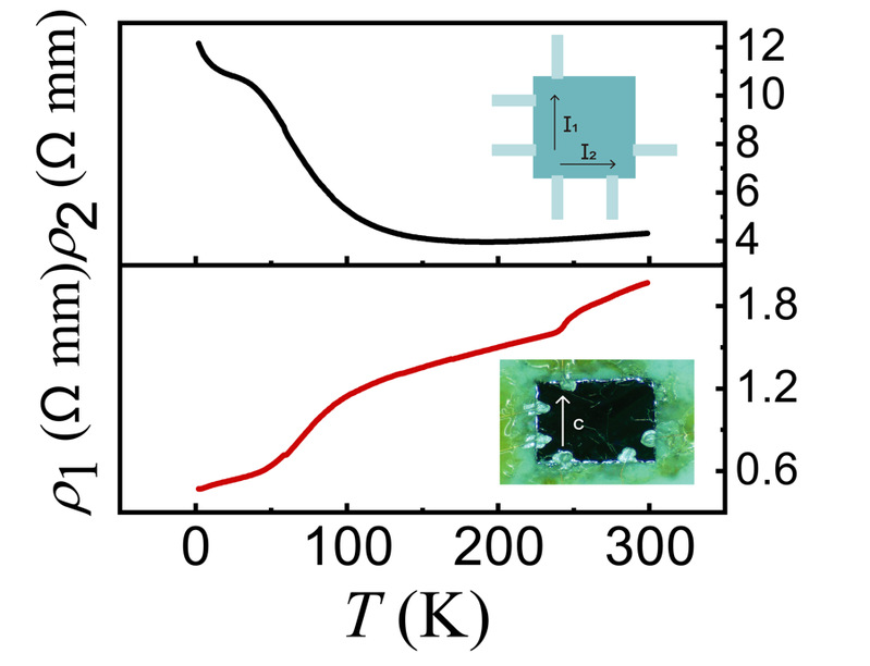
在微观尺度证明了这一材料中一维金属与二维半导体的共存后,研究人员预测在宏观尺度中这一材料在电子输运上存在着各向异性,并在随后的实验中证明了这一预测。当调节材料中硅元素的参杂到适当比例时,研究发现沿着原子链测量,该晶体呈现金属性;垂直于原子链测量,该晶体呈现绝缘性(半导体性),如图三所示。这证明了这种奇异的微观结构对其宏观电学性质有巨大影响。这种特殊的结构和性质使该类材料将有可能在一维高迁移率器件、一维电子波导、偏振中红外探测等方面得到应用。
该成果是薛加民课题组、郭艳峰课题组在Nb2Six-1Te4材料体系研究中取得的又一新进展。他们曾通过合作于2019年发现Nb2SiTe4体系具有很好的中红外响应(ACS Nano, 13, 10705 (2019))。这些重要的新发现将对该材料体系的进一步深入研究和利用打下基础。

图三:垂直于金属链方向电阻率随温度的变化(黑色曲线)和沿着金属链方向电阻率随温度的变化(红色曲线)。插图展示了用于测量输运的样品的情况。
该研究由新加坡科技设计大学杨声远团队提供理论指导。薛加民课题组博士研究生王斌斌,郭艳峰课题组博士研究生、现拓扑物理实验室博士后夏威为共同第一作者。该工作得到了科技部重点研发计划、中科院先导计划、国家自然科学基金等项目支持和小妲己直播 分析测试中心的帮助。
文章链接:
//pubs.acs.org/doi/10.1021/acsnano.1c00320